在熱工裝備加熱過程中,電阻率隨溫度增加而降低,高溫時的電阻率變化為低溫時電阻率的 50%~60%。當電阻下降時要保持功率不變則需要增加電流值,高溫區工作時,電流已經達 到了功率調節器的上限,無法輸出更大的功率。
疊層控制技術將變壓器分為兩檔電壓,通過 移相與過零兩種調節方式相結合,實現兩檔電壓間的無級調節,自動調節變壓器的電流電 壓,減少諧波污染,提升設備功率因數和功率輸出。
熱工裝備高溫加熱時,電阻率會隨溫度變化而變 化,加熱元件在低溫段,功率輸出正常,輸出的電壓電 流與加熱電源的匹配性很好,但在高溫段,功率輸出異 常,有時輸出的功率甚至只有額定功率的30%,造成嚴 重的大馬拉小車現象。
上海博迅疊層控制技術
1 控制基本模型 晶閘管是一種常用的電力電子器件,本文論述的電 路是采用晶閘管來組成的交流調壓電路。如圖1所示, 把兩個晶閘管反并聯后串聯在交流電路中,通過對晶閘 管的控制就可以控制交流電力,這種電路不改變交流電 的頻率,稱為交流電力控制電路。
在這種電路中晶閘管的觸發控制方式分為:過零觸 發和移相觸發。由于過零觸發電流沖擊大,本文主要對 移相觸發進行研究

2 移相觸發 在每半個周波內,通過對晶閘管開通相位的控制, 可以方便地調節輸出電壓的有效值,這種電路稱為交流 調壓電路,晶閘管的觸發方式叫移相觸發。

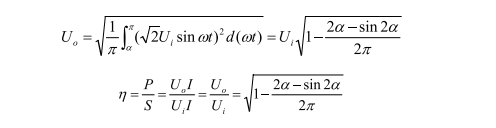
根據有效值的定義,可以計算阻性負載的移相觸發 的輸出電壓有效值Uo和功率因數η為:

(Ui為輸入電壓有效值,Uo為輸出電壓的有效值, α為圖2中的控制角)由功率因數η的計算公式,可以 繪制出控制角α與η之間的關系曲線如圖3所示。 在移相觸發的控制方式下,晶閘管導通時,負載 的電流電壓波形都是晶閘管移相調整過的波形,
所以晶 閘管的這種觸發方式會對電網造成諧波污染,如圖3所 示,當電源的移相深度越深(控制角α越大)時,電源 系統的功率因數越差,相應地,注入電網的電流諧波含 量指標也會變差。

疊層電源
針對上述情況高諧波、低功率因數弊端,引進了疊 層控制電源。以疊層單相電源模型為例如圖4所示。

如上圖所示為變壓器原邊兩疊層電源模型,進線電 源每相采用2組可控硅分別連接到變壓器原邊的兩個抽 頭。實際運行中,輸入到負載端的電壓波形為兩層電壓 的疊加,在很大程度上提高功率因數和減小諧波含量。